김포시 북변동에 우미린 파크리브가 2024년 5월 20일 특별공급을 시작으로 입주자를 모집합니다. 이번 청약에서 전체 1,200세대 중 831세대를 분양하며, 민영주택으로 분양가상한제 미적용 지역이며 거주의무는 없습니다. 전매는 6개월 이후에 가능한데요, 자세한 청약일정과 자격, 분양가 등을 알아보겠습니다.

김포 북변 우미린 파크리브
경기도 김포시 북변동에 우미린 파크리브가 2024년 5월 20일 특별공급을 시작으로 입주자를 모집합니다. 입주자 모집공고일(2024년 5월 9일) 현재 해당지역은 김포시 거주자, 기타 지역은 수도권 및 서울, 인천 거주자입니다.
<김포 북변 우미린 파크리브>
■ 공급위치 : 경기도 김포시 북변동 329-2 일원
■ 공급규모 : 지하 3층 ~ 최고 29층 13개 동 / 총 1,200세대 중 일반분양 831세대(특별공급 399세대 포함)
■ 입주시기 : 2027년 12월 예정(정확한 입주일자는 추후 통보함)
■ 공급대상 :

■ 재당첨제한 : 없음
■ 전매제한 : 6개월
■ 거주의무기간 : 없음
김포 북변 우미린 파크리브는 민영주택으로 비규제지역입니다. 재당첨 제한은 없지만 본 아프트에 당첨되면 당첨자 및 세대원은 5년간 투기과열지구, 청약과열지역 1순위 접수는 제한됩니다. 전매제한은 6개월 후에 가능하며 거주의무기간은 없습니다.

김포 북변 우미린 파크리브 청약일정 및 자격
김포 북변 우미린 파크리브는 모집공고일(2024년 5월 9일) 현재 만 19세 이상으로 김포 혹은 서울, 인천, 수도권 거주자가 청약하실 수 있습니다. 유주택자도 청약가능하며 청약통장 가입기간 12개월 이상으로 지역별 면적별 예치금 충족 시 1순위 청약 가능합니다.
[1순위 청약 조건]
■ 입주자 모집공고일 현재 김포시 거주자(해당지역)
■ 만 19세 이상 또는 세대주인 미성년자
■ 청약통장 가입기간 12개월 이상, 지역별 면적별 예치금 충족 시

민영주택 청약예치금은 지역별 면적별 다르게 산정되는데요, 김포 북변 우미린 파크리브의 경우 전체 84 이하 타입으로 김포 거주자는 200만 원, 서울은 300만 원, 인천은 250만 원입니다.

보다 자세한 내용은 입주자 모집 공고문을 꼼꼼히 확인하시기 바랍니다.
[청약일정]
김포 북변 우미린 파크리브 특별공급은 2024년 5월 20일, 일반공급 1순위는 5월 21일(화), 당첨자 발표는 5월 28일입니다.
■ 입주자 모집공고 : 2024년 5월 9일(목)
■ 특별공급 : 2024년 5월 20일(월) 09:00 ~ 17:30
■ 1순위 접수 : 2024년 5월 21일(화) 09:00 ~ 17:30
■ 2순위 접수 : 2024년 5월 22일(수) 09:00 ~ 17:30
■ 당첨자 발표 : 2024년 5월 28일(화)
■ 서류접수 : 2024년 5월 30일(목( ~ 6월 5일(수)
청약은 청약홈 홈페이지 혹은 청약홈 어플을 이용하시면 됩니다. 청약 마감은 해당일 17시 30분까지로 시간이 되면 청약이 완료되지 않아도 마감되므로 미리 준비하시기 바랍니다.
청약홈을 통한 인터넷 청약은 개인인증을 통해 로그인 후 이용하실 수 있습니다. 자세한 청약 순서는 다음의 도표를 참고하세요.

김포 북변 우미린 파크리브는 오프라인 접수도 가능합니다. 특별공급은 본 아파트 견본주택에서, 일반공급은 청약통장 가입은행에서 가능합니다.
■ 특별공급 오프라인 접수 : 본 아파트 견본주택(T. 031-987-0805)
■ 일반공급 오프라인 접수 : 청약통장 가입은행
김포 북변 우미린 파크리브 분양가 및 평면정보
이번 청약에서는 조합원 물량을 제외하고 총 831세대를 분양합니다. 이중 특별공급이 399세대, 일반공급 432세대로 일반공급 중 59A타입이 142세대로 가장 많습니다.
<타입별 일반공급 물량>
| 구분 | 59A | 59B | 74A | 74B | 84A | 84B | 84C |
| 일반공급물량 | 142 | 51 | 53 | 34 | 74 | 10 | 42 |
김포 북변 우미린 파크리브는 59, 74, 84 타입으로 구성되며 각 평형별 평면도, 추가옵션 설치 위치 등은 아래 링크에서 확인하시기 바랍니다.
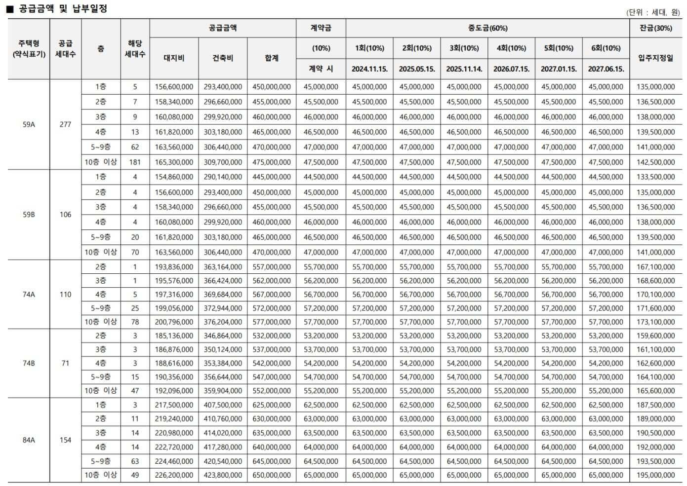
공급가는 평형별, 타입별, 층수별로 다르게 책정되어 있으며 발코니 확장 금액 및 기타 옵션은 제외된 금액입니다.
■ 59 타입 : 4억 5000만 원 ~ 4억 7000만 원
■ 74 타입 : 5억 4700만 원 ~ 5억 7700만 원
■ 84 타입 : 6억 2500만 원 ~ 6억 5200만 원
타입별 자세한 공급가는 아래의 표를 참고해 주세요.


발코니 확장금액은 별도이며, 평형과 타입에 따라서 1,600만 원 ~ 2,050만 원선입니다.

그 외에 시스템 에어컨, 중문, 거실 등의 가구와 붙박이장, 가전 설치에 대해 추가 옵션을 선택하실 수 있는데요, 그에 따라 비용은 달라집니다. 정확한 비용은 입주자모집 공고문을 확인하세요.
김포 북변 우미린 파크리브 견본주택 및 입지정보
■ 현장위치 : 경기도 김포시 북변동 329-2 일원

■ 교통망
반경 500m 도보거리 내에 걸포북변역, 태장로, 김포대로, 김포한강로, 일산대교 등 서울과 빠르게 연결
인천 2호선 연장(예정), 5호선 연장(예정), GTX-D노선(추진), 김포한강 2 콤팩트시티(예정) 등
■ 생활권
홈플러스, CGV, 김포시청, 행정복지센터, 김포 우리 병원 등 반경 1.5km 거리에 모여있는 다양한 생활인프라
■ 교육권
단지 앞 시립중봉도서관, 김포초, 김포중, 김포여중, 김포고, 사우고 등 인접한 교육환경

김포 북변 우미린 파크리브는 견본주택을 운영하고 있습니다. 견본주택 방문이 여의치 않으신 분은 홈페이지 e모델하우스에서 59A타입, 84A타입의 시설을 둘러보실 수 있습니다.
■ 견본주택 위치 : 경기도 김포시 장기동 2014-1(T. 031-987-0805)

김포 북변 우미린 파크리브 아파트 청약일정에 대해서 알아봤습니다. 거주의무와 재당첨제한은 없으며, 당첨 후 6개월 후 전매가 가능합니다. 재당첨 제한은 없으나 당첨자 및 세대원은 5년간 투기과열지구, 청약과열지역 1순위 접수는 제한됩니다. 현명한 판단으로 청약 여부 결정하시기 바랍니다.
<함께 보면 좋은 글>
2024.05.10 - [분류 전체 보기] - 래미안 원베일리 조합원 취소분 분양가 및 청약 안내
래미안 원베일리 조합원 취소분 분양가 및 청약 안내
서초구 반포 래미안 원베일리 조합원 취소분 청약이 5월 20일 진행됩니다. 84타입 19억원대의 분양가로 진행되며 현재 시세를 감안하면 상당한 시세차익이 예상됩니다. 자세한 청약 자격과 일정
right.infoonearth.com
2024.05.09 - [분류 전체 보기] - 신규 분양 아파트 셀프 등기 방법 서류 비용 총정리
신규 분양 아파트 셀프 등기 방법 서류 비용 총정리
부동산 거래로 소유권 변경 시 등기를 새로 진행해야 합니다. 이때 주로 법무사를 통해서 진행하기도 하지만 필요한 서류를 미리 준비하시면 직접 등기 접수를 하실 수 있습니다. 스스로 직접
right.infoonearth.com