상도 푸르지오 클라베뉴 아파트 무순위 청약이 5월 7일 진행됩니다. 당첨자 발표는 5월 10일이며, 계약 완료 후 5월 중 입주가 가능합니다. 자세한 청약일정과 자격 등을 알아보겠습니다.

상도 푸르지오 클라베뉴 기본정보(임의공급 5차)
상도 푸르지오 클라베뉴는 이번 무순위 청약 전 4월 초에도 임의 공급 4차가 진행되었으며 당시 70:1이 넘는 경쟁률을 보였습니다. 이후 계약취소나 부적격 당첨자 등의 물량에 대해 5차 임의공급이 진행될 예정입니다.
<상도 푸르지오 클라베뉴 기본정보>
● 공급위치 : 서울 동작구 상도동 산 65-74 번지 일원
● 공급규모 : 지하 5층, 지상 18층 10개 동 총 771세대 중 잔여물량 49세대
● 입주예정 : 2024년 5~6월 예정(최초입주 : 2024년 3월)
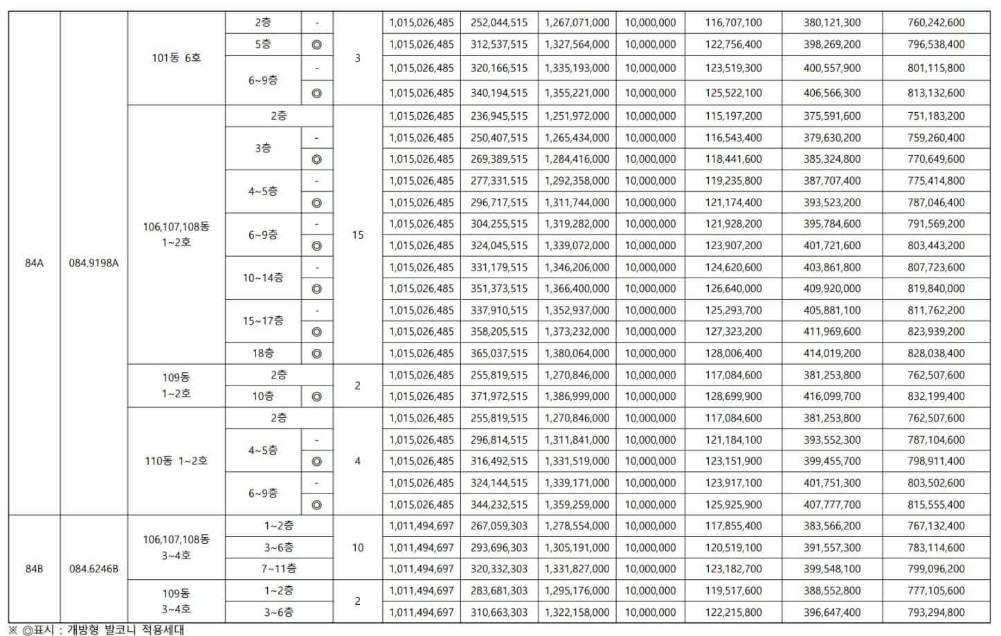
● 공급대상

<견본주택 및 현장 위치>
● 분양홍보관 : 서울 동작구 상도동 산 65-174
● 분양문의 : 02-575-0771(10:00 ~17:00)

상도 푸르지오 클라베뉴 무순위 임의공급 청약일정 및 자격
<무순위 임의공급 청약일정>
● 청약접수 : 2024년 5월 7일(화) 09:00 ~ 1730
● 당첨자발표 : 2024년 5월 10일(수)
● 계약체결 : 2024년 5월 12일(일)
한국부동산원 청약홈 홈페이지에서 인터넷 청약 가능하며 인터넷 청약 시 금융인증서, 개인인증서를 통한 로그인 후 이용하실 수 있습니다.
<청약자격>
● 입주자 모집공고일 현재 국내에 거주하는 만 19세 이상의 성년 혹은 미성년 세대주
● 청약통장 가입 여부와 무관하게 신청가능하며 청약신청금은 없습니다.
● 본 주택 청약에 당첨된 후 계약을 체결하지 않았을 경우, 부적격 당첨자로 그 기간 중에 있을 경우 청약 불가합니다.
자세한 내용은 입주자 모집공고문을 꼼꼼히 확인하시기 바랍니다.
상도 푸르지오 클라베뉴 임의공급 분양가 및 평형정보
이번 임의 공급은 74A 타입 13세대, 84A 타입 24세대, 84B타입 12세대로 이미 준공된 주택입니다. 각 세대별 발코니 확장과 기타 옵션 설치 여부는 준공 그대로 진행되며 취소 및 변경은 불가합니다.
● 74A 타입 : 13세대 - 11억 4740만원 ~ 12억 2120만원
● 84A 타입 : 24세대 - 12억 6710만원 ~ 13억 8700만원
● 84B 타입 : 12세대 - 12억 7860만원 ~ 13억 2220만원
평형과 층수에 따른 동호수 공급가는 아래 표를 참고하시기 바랍니다.


이번 청약은 취소세대에 대한 임의공급으로 계약금, 중도금, 잔금 납부 일정이 일반 청약과 달리 촉박하게 정해져 있습니다. 자금 공급 및 계획을 확인하신 후 청약 도전하시기 바랍니다.
<함께 보면 좋은 글>
2024.05.01 - [분류 전체 보기] - 힐스테이트 리슈빌 강일 무순위 계약취소분 청약
힐스테이트 리슈빌 강일 무순위 계약취소분 청약
서울 강동구 고덕강일공공주택지구의 힐스테이트 리슈빌 강일의 계약취소주택에 대해 청약이 진행됩니다. 전체 809세대 중 계약취소분 7세대에 대해 5월 7일(화) 특별공급부터 시작되어 5월 13일(
right.infoonearth.com
2024.04.30 - [분류 전체 보기] - 검단 스타힐스 가현숲 공급가 청약일정 견본주택 총정리
검단 스타힐스 가현숲 공급가 청약일정 견본주택 총정리
인천광역시 서구 마전동에 검단 스타힐스 가현숲이 청약을 시작합니다. 총 709세대 중 이번에 청약하는 물량은 특별공급 72세대, 일반공급 81세대이며, 59~84 타입 총 9개 타입으로 구성되어 있습니
right.infoonearth.com
2024.04.27 - [분류 전체 보기] - 광명 롯데캐슬 시그니처 분양가 모델하우스 청약일정 및 입지환경
광명 롯데캐슬 시그니처 분양가 모델하우스 청약일정 및 입지환경
광명제9R구역 주택재개발정비사업으로 진행된 광명 롯데캐슬 시그니처가 5월 7일부터 청약을 진행합니다. 이번 청약에는 39~59 타입의 중소형 평형 총 533세대를 분양하며, 유주택자도 청약신청이
right.infoonearth.com